Cálculo de Condensadores
Serie y Paralelo

El cálculo de **condensadores en serie y paralelo** es fundamental en el diseño de circuitos electrónicos, ya que permite determinar la **capacitancia total** en diferentes configuraciones.

Con nuestra **calculadora interactiva y online**, podrás obtener el valor equivalente de condensadores conectados en serie o en paralelo de forma rápida y sencilla.

Calculadora de Condensadores
Calculadora de Condensadores

¿Cómo Usar la Calculadora?

Sigue estos pasos para utilizar la calculadora de condensadores:

Paso 1: Selecciona el Tipo de Asociación

En la parte superior de la calculadora, encontrarás un menú desplegable para seleccionar el tipo de asociación:

  • Serie: Los condensadores están conectados uno tras otro.

  • Paralelo: Los condensadores están conectados lado a lado.

Selecciona la opción que corresponda a tu circuito.

Paso 2: Ingresa los Valores de los Condensadores

Debajo del selector de asociación, encontrarás campos para ingresar los valores de los condensadores. Para cada condensador:

  1. Ingresa el valor numérico en el campo correspondiente.

  2. Selecciona la unidad (Faradios “F”, Microfaradios “µF”, Nanofaradios “nF” o Picofaradios “pF”).

Paso 3: Agrega Más Condensadores (Opcional)

Si necesitas calcular la capacitancia total de más de dos condensadores, haz clic en el botón “Agregar Condensador”. Esto añadirá un nuevo campo para ingresar el valor de otro condensador.

Paso 4: Haz Clic en “Calcular”

Una vez que hayas ingresado todos los valores, haz clic en el botón “Calcular”. La calculadora procesará los datos y te mostrará la capacitancia total en la unidad más adecuada (F, µF, nF o pF).

Paso 5: Limpiar los Campos (Opcional)

Si deseas realizar otro cálculo, haz clic en el botón “Limpiar”. Esto borrará todos los campos y te permitirá empezar de nuevo.

Fórmulas Utilizadas

La calculadora utiliza las siguientes fórmulas para determinar la capacitancia total:

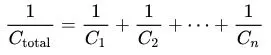
  • Condensadores en Serie:
    La capacitancia total es el inverso de la suma de los inversos de las capacitancias individuales.

  • Condensadores en Paralelo:
    La capacitancia total es la suma de las capacitancias individuales.

Ejemplo Práctico

Condensadores en Serie

Supongamos que tienes dos condensadores conectados en serie:

  • Condensador 1: 10 µF

  • Condensador 2: 20 µF

  1. Selecciona “Serie” en el menú desplegable.

  2. Ingresa 10 en el campo del primer condensador y selecciona µF.

  3. Ingresa 20 en el campo del segundo condensador y selecciona µF.

  4. Haz clic en “Calcular”.

  5. El resultado será: Capacitancia Total (Serie): 6.67 µF.

Condensadores en Paralelo

Supongamos que tienes dos condensadores conectados en paralelo:

  • Condensador 1: 10 µF

  • Condensador 2: 20 µF

  1. Selecciona “Paralelo” en el menú desplegable.

  2. Ingresa 10 en el campo del primer condensador y selecciona µF.

  3. Ingresa 20 en el campo del segundo condensador y selecciona µF.

  4. Haz clic en “Calcular”.

  5. El resultado será: Capacitancia Total (Paralelo): 30 µF.

Este sitio web utiliza cookies para que usted tenga la mejor experiencia de usuario. Si continúa navegando está dando su consentimiento para la aceptación de las mencionadas cookies y la aceptación de nuestra política de cookies, pinche el enlace para mayor información.

ACEPTAR
Aviso de cookies