Calculadora de Frecuencia de Corte para Filtros RC y RL

Esta herramienta online te permite calcular la frecuencia de corte de filtros RC (Resistencia-Capacitancia) y filtros RL (Resistencia-Inductancia), tanto en configuraciones de Paso Bajo como de Paso Alto.

Con solo ingresar los valores de los componentes, obtendrás la frecuencia de corte de manera rápida y precisa. Ideal para estudiantes, ingenieros y profesionales de electrónica que necesitan diseñar o analizar circuitos electrónicos.

Calculadora de Frecuencia de Corte (Filtro RC y RL)
Calculadora de Frecuencia de Corte (Filtro RC y RL)
Frecuencia de Corte -3dB: N/A

¿Cómo usar la Calculadora de Filtros?

La Calculadora de Frecuencia de Corte para Filtros RC y RL es una herramienta sencilla y eficaz para diseñar y analizar circuitos electrónicos. A continuación, te explicamos cómo utilizarla:

1. Selecciona el tipo de filtro:

  • En el primer selector, elige entre Filtro RC (Resistencia-Capacitancia) o Filtro RL (Resistencia-Inductancia).

  • Luego, en el segundo selector, elige si deseas calcular la frecuencia de corte para un filtro de Paso Bajo o Paso Alto.

2. Ingresa los valores de los componentes:

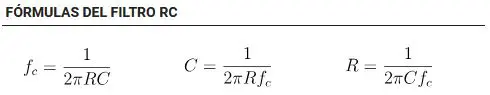
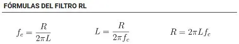
  • Resistencia: Introduce el valor de la resistencia en el campo correspondiente y selecciona la unidad (Ω, kΩ o MΩ).

  • Capacitancia o Inductancia:

    • Si seleccionaste un Filtro RC, ingresa el valor de la capacitancia y elige la unidad (F, µF, nF o pF).

    • Si seleccionaste un Filtro RL, ingresa el valor de la inductancia y elige la unidad (H, mH o µH).

3. Observa los resultados:

  • La calculadora mostrará automáticamente la frecuencia de corte en Hz, kHz o MHz, dependiendo del valor calculado.

  • La frecuencia de corte es el punto en el que la señal se atenúa a -3dB, lo que indica el límite entre la banda de paso y la banda de rechazo del filtro.

4. Cambia entre Paso Bajo y Paso Alto:

Si cambias entre Paso Bajo y Paso Alto, la calculadora actualizará automáticamente las imágenes del circuito y los resultados para reflejar la configuración seleccionada.

5. Limpia los campos:

Si deseas realizar un nuevo cálculo, haz clic en el botón Limpiar para borrar todos los campos y empezar de nuevo.

Ejemplo de uso

Supongamos que deseas calcular la frecuencia de corte de un Filtro RC Paso Bajo:

  1. Selecciona Filtro RC y Paso Bajo.

  2. Ingresa el valor de la resistencia, por ejemplo, 1 kΩ.

  3. Ingresa el valor de la capacitancia, por ejemplo, 1 µF.

  4. La calculadora mostrará la frecuencia de corte, que en este caso sería 159.15 Hz.

Consejos adicionales

  • Asegúrate de ingresar valores válidos y positivos para la resistencia, capacitancia o inductancia.

  • Utiliza las unidades adecuadas para obtener resultados precisos.

  • Si no estás seguro de los valores de los componentes, consulta las especificaciones del fabricante o utiliza un multímetro para medirlos.

Este sitio web utiliza cookies para que usted tenga la mejor experiencia de usuario. Si continúa navegando está dando su consentimiento para la aceptación de las mencionadas cookies y la aceptación de nuestra política de cookies, pinche el enlace para mayor información.

ACEPTAR
Aviso de cookies