Cálculo de Inductancia en Serie y Paralelo

“En esta página, aprenderás **cómo calcular inductores o bobinas en serie y paralelo**, un concepto esencial para el diseño de circuitos electrónicos.

Con nuestra **calculadora interactiva y online**, podrás obtener rápidamente los valores totales de inductancia, ya sea que trabajes con inductores conectados en serie o en paralelo.

Descubre cómo estos cálculos afectan el rendimiento de tus proyectos electrónicos y mejora tu comprensión sobre el comportamiento de los componentes inductivos en diferentes configuraciones. ¡Simplifica tus diseños y ahorra tiempo con nuestras herramientas prácticas!”

Calculadora de Bobinas
Calculadora de Bobinas
Bobinas en Serie y Paralelo

¿Qué es una conexión de inductancias en serie?

Circuito de asociación de bobinas en serie

Una conexión de inductores en serie ocurre cuando se conectan varios inductores uno después del otro en un circuito. La inductancia total de inductores en serie se calcula sumando las inductancias individuales:

En esta configuración, la corriente es la misma a través de todos los inductores, pero las caídas de voltaje varían. Esta configuración es útil cuando se necesita una inductancia total mayor en un circuito sin agregar inductores más grandes.

Este concepto es esencial en el diseño de filtros y otros circuitos electrónicos.

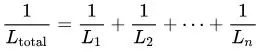
¿Qué es una conexión de inductancias en paralelo?

Circuito de asociación de bobinas en paralelo

En un circuito, cuando conectamos inductores en paralelo, la inductancia total se calcula utilizando una fórmula similar a la de las resistencias en paralelo. La fórmula es:

Esto implica que la inductancia total es siempre menor que la inductancia de cualquiera de los inductores individuales.

A medida que se agregan inductores en paralelo, la inductancia total disminuye, lo que cambia el comportamiento del circuito, ya que la energía almacenada en el campo magnético se distribuye entre todos los inductores.

Este sitio web utiliza cookies para que usted tenga la mejor experiencia de usuario. Si continúa navegando está dando su consentimiento para la aceptación de las mencionadas cookies y la aceptación de nuestra política de cookies, pinche el enlace para mayor información.

ACEPTAR
Aviso de cookies